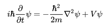
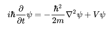
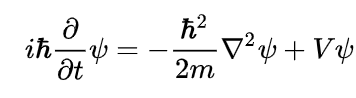
슈뢰딩거 방정식은 양자역학의 기초를 이루는 방정식으로, 에르빈 슈뢰딩거가 1925년에 제안한 파동 방정식입니다. 이 방정식은 비상대론적인 입자의 양자 상태를 기술하며, 파동 함수의 시간에 따른 변화를 설명합니다. 슈뢰딩거 방정식은 양자역학의 현상을 수학적으로 모델링하는 데 중요한 역할을 합니다.

슈뢰딩거 방정식의 공학적 중요성
슈뢰딩거 방정식은 전자와 같은 미시적 입자들의 행동을 이해하는 데 필수적입니다. 이 이해는 반도체 공학, 나노기술, 양자 컴퓨팅 등과 같은 현대 공학의 여러 분야에서 광범위하게 활용됩니다.
- 반도체 공학: 반도체 내 전자의 동작을 이해하고 예측하기 위해 슈뢰딩거 방정식이 사용됩니다. 트랜지스터와 같은 반도체 기기의 설계에 있어서, 전자의 에너지 상태와 위치를 정확하게 계산할 수 있어야 합니다.
- 나노기술: 나노 스케일에서의 물질의 행동은 전통적인 물리 법칙과 다를 수 있습니다. 슈뢰딩거 방정식은 나노입자 내에서의 전자의 행동을 이해하는 데 중요하며, 이를 통해 나노물질을 효과적으로 설계하고 제작할 수 있습니다.
- 양자 컴퓨팅: 양자 컴퓨터의 기본 단위인 큐비트의 상태는 슈뢰딩거 방정식에 의해 기술됩니다. 큐비트의 상태 진화를 이해하고 제어하는 것은 양자 컴퓨팅 기술의 핵심입니다.
실생활 사례
MRI (자기공명영상): MRI 기술에서는 양자역학적 현상을 이용하여 인체 내부의 이미지를 생성합니다. 인체 내 수소 원자의 핵이 외부 자기장에 반응하는 방식을 이해하고 이를 이미지로 변환하는 과정은 슈뢰딩거 방정식을 기반으로 하는 양자역학의 원리에 근거합니다.
광전지: 태양광을 전기 에너지로 변환하는 광전지는 빛에 의해 전자가 여기되는 현상을 이용합니다. 이 과정에서 전자의 에너지 상태 변화는 슈뢰딩거 방정식을 통해 설명되며, 이를 최적화하기 위해 양자역학적 원리가 사용됩니다.
레이저 기술: 레이저는 특정 원자나 분자가 빛의 형태로 에너지를 방출할 때 생성됩니다. 이 원자나 분자의 에너지 상태의 변화를 이해하고 제어하는 것은 슈뢰딩거 방정식을 통해 설명될 수 있으며, 이는 레이저 기술의 효율과 성능을 향상시키는 데 중요합니다.
이러한 예시들은 슈뢰딩거 방정식이 양자역학을 넘어서서 공학적 응용에 어떻게 중요한 기여를 하고 있는지를 잘 보여줍니다. 이 방정식은 물질의 근본적인 성질과 상호작용을 이해하는 데 핵심적인 역할을 하며, 이를 통해 공학적 설계와 기술 혁신이 가능해집니다.

슈뢰딩거 방정식은 주로 양자역학의 맥락에서 이용되며, 그 이론적 토대 위에서 다양한 혁신적인 기술들이 개발되고 있습니다. 이 방정식을 기반으로 한 최신 기술의 몇 가지 예를 아래에 설명드리겠습니다.
1. 양자 컴퓨팅
양자 컴퓨팅은 슈뢰딩거 방정식의 직접적인 응용 중 하나입니다. 이 기술은 전통적인 비트 대신 양자 비트(큐비트)를 사용하여 계산을 수행합니다. 큐비트는 슈퍼포지션과 얽힘과 같은 양자역학적 특성을 가지며, 이는 슈뢰딩거 방정식으로 설명됩니다. 이러한 특성 덕분에 양자 컴퓨터는 특정 문제들, 예를 들어 대규모 데이터 암호화 해독 및 복잡한 화학 반응의 시뮬레이션을 기존 컴퓨터보다 훨씬 빠르게 처리할 수 있습니다.
2. 양자 암호화
양자 암호화 기술, 특히 양자 키 분배(QKD)는 슈뢰딩거 방정식의 원리를 이용하여 정보를 암호화하고 보안 통신을 보장합니다. 큐비트의 양자역학적 성질을 활용하여 키 정보를 생성하고 전송하는데, 만약 이 정보가 도청되면, 큐비트의 상태가 변하여 이를 감지할 수 있습니다. 이는 데이터 보안을 위한 근본적으로 새로운 접근 방식을 제공합니다.
3. 양자 센서
양자 센서는 슈뢰딩거 방정식을 이용하여 극히 미세한 물리적 변화를 감지하는 데 사용됩니다. 이러한 센서는 자기장, 중력, 온도, 압력 등을 포함한 다양한 환경적 변수들을 감지할 때 고도의 정밀도를 제공합니다. 예를 들어, 양자 자기 센서는 의료 영상 기술에서 매우 작은 신경 전기 신호를 감지하는 데 사용될 수 있으며, 지질 탐사에서도 극미량의 자원을 찾는 데 쓰일 수 있습니다.
4. 양자 시뮬레이션
슈뢰딩거 방정식을 이용한 양자 시뮬레이션은 화학 반응, 물질의 상태 변화, 신약 개발 등을 연구하는 데 사용됩니다. 이 기술은 자연 현상을 모델링하고 실험하기 어려운 화학적, 물리적, 생물학적 과정을 이해하는 데 귀중한 도구입니다. 예를 들어, 특정 약물의 분자와 인체 내 수용체와의 상호작용을 시뮬레이션하여 더 효과적인 치료법을 개발할 수 있습니다.
이러한 기술들은 슈뢰딩거 방정식을 통해 양자역학적 현상을 이해하고, 이를 실용적인 기술로 전환하는 혁신적인 예입니다. 이를 통해 과학 및 공학 분야에서 새로운 패러다임의 문을 열고 있습니다.
'배움: MBA, English, 운동' 카테고리의 다른 글
| 아마존 (KDP) 책 출간하기 (2) | 2024.04.16 |
|---|---|
| 삼성 파운드리와 TSMC (0) | 2024.04.15 |
| 맥스웰 방정식 ( Maxwell's equations ) (0) | 2024.04.15 |
| 비트코인 반감기는 무엇이고, 언제? (1) | 2024.04.15 |
| 닛폰 스틸의 U.S. Steel 인수, 노조와 규제 기관의 이중 장벽 (1) | 2024.04.15 |