양자 물리학은 현대 물리학의 근간을 이루는 분야로, 20세기 과학 혁명의 중심에 있었습니다. 아래는 1900년부터 1982년까지 이루어진 주요 성과들을 연도별로 정리한 내용입니다.
양자 물리학은 20세기 초, 고전 물리학의 한계를 극복하며 시작된 혁신적인 과학 혁명으로, 현대 과학과 기술의 근본적인 토대를 마련했습니다. 막스 플랑크가 흑체 복사를 설명하기 위해 양자 가설을 제안한 이후, 양자역학은 점점 더 복잡하고 정교한 이론으로 발전했습니다. 이 과정에서 입자의 이중성, 불확정성 원리, 얽힘과 같은 개념들이 도입되며 우주의 작동 방식을 이해하는 새로운 틀을 제시했습니다.
양자 물리학은 단순히 이론적 발견에 그치지 않고, 실험적으로 입증되고 실질적인 기술 혁신으로 이어졌습니다. 반도체, 레이저, 양자 컴퓨터와 같은 현대 기술은 모두 양자 물리학의 결과물입니다. 이러한 발전은 물리학자들의 끊임없는 노력과 혁신적인 아이디어 덕분에 가능했으며, 특히 폴 디랙, 존 벨, 알랭 아스펙트 등 여러 연구자들이 양자역학의 이해를 심화하고 이를 실험적으로 검증하며 새로운 가능성을 열어갔습니다.
이 글에서는 20세기 후반 양자 물리학의 중요한 두 가지 성과인 **점근 자유성(Asymptotic Freedom)**과 양자 얽힘 실험을 중심으로, 이들의 과학적·기술적 의의를 살펴보고자 합니다. 이러한 발견은 입자물리학과 양자정보과학의 발전을 이끌며, 현대 물리학의 중심적 위치를 확고히 했습니다.

1900: 양자의 시작 - 막스 플랑크
막스 플랑크는 흑체 복사를 설명하기 위해 양자 가설을 제안하며, 양자 물리학의 서막을 열었습니다. 에너지가 연속적이지 않고, 특정 크기(양자)로 나누어진다고 주장했습니다.
양자 물리학의 역사는 1900년, 막스 플랑크가 흑체 복사를 설명하기 위해 양자 가설을 제안하면서 시작되었습니다. 당시 물리학자들은 흑체가 방출하는 에너지 분포를 설명하려 했지만, 기존의 고전 물리학으로는 실험 결과를 제대로 예측할 수 없었습니다. 이를 해결하기 위해 플랑크는 에너지가 연속적이지 않고, 특정 단위로 나누어진다고 제안했습니다. 그는 에너지가 E=h⋅fE = h \cdot f라는 식에 따라 특정한 단위(양자, hh는 플랑크 상수, ff는 진동수)로만 존재한다고 설명했습니다. 이 혁신적인 아이디어는 기존 물리학에 도전장을 내밀었고, 에너지의 불연속적 특성을 인정한 최초의 이론으로 기록됩니다. 플랑크의 연구는 양자 역학의 초석을 놓았으며, 이후 양자 물리학의 모든 발전에 중요한 기초를 제공했습니다.
1905: 빛의 양자 가설 - 알베르트 아인슈타인
아인슈타인은 광전 효과를 설명하며 빛이 입자(광자)처럼 행동할 수 있다는 가설을 세웠습니다. 이 발견은 양자 이론의 확장을 위한 초석이 되었으며, 후에 노벨 물리학상을 수상하는 기초가 되었습니다.
1905년, 알베르트 아인슈타인은 플랑크의 양자 가설을 한 걸음 더 발전시키며 빛의 양자 가설을 제안했습니다. 그는 광전 효과 실험을 설명하기 위해 빛이 연속적인 파동이 아니라 개별적인 입자(광자)처럼 행동할 수 있다고 주장했습니다. 광전 효과란 금속 표면에 빛을 비출 때 전자가 방출되는 현상으로, 당시 고전 물리학은 빛의 세기가 강할수록 방출된 전자의 에너지가 높아져야 한다고 예측했지만, 실험 결과는 그렇지 않았습니다. 아인슈타인은 빛의 에너지가 광자의 개수와 세기와는 무관하게 오직 광자의 진동수에 비례한다고 설명했습니다. 이는 빛이 입자성과 파동성을 동시에 가진다는 이중성의 개념으로 이어졌으며, 아인슈타인은 이 공로로 1921년 노벨 물리학상을 수상했습니다. 그의 이론은 양자 물리학의 체계적인 확장을 가능하게 했습니다.
1924: 입자의 파동성 - 루이 드 브로이
루이 드 브로이는 물질 입자도 파동성을 가질 수 있다는 '물질파' 개념을 제안했습니다. 이는 양자역학의 기본 개념 중 하나로 자리 잡았습니다.
1924년, 프랑스의 물리학자 루이 드 브로이는 혁신적인 논문에서 입자의 파동성을 제안했습니다. 그는 "모든 물질은 파동성을 가질 수 있다"는 개념을 도입하며, 입자와 파동이 양자 역학의 통합된 개념임을 밝혔습니다. 드 브로이는 이 아이디어를 그의 물질파 가설로 구체화했으며, 물질의 파장(드 브로이 파장)은 λ=h/p 라는 식으로 표현됩니다. 여기서 λ는 파장, h는 플랑크 상수, p는 입자의 운동량입니다. 이 발견은 이후 전자와 같은 작은 입자들이 회절이나 간섭과 같은 파동적 특성을 보인다는 실험적 증거로 이어졌습니다. 드 브로이의 이론은 양자 역학의 이론적 틀을 확장하며, 1929년 노벨 물리학상을 수상하는 기초가 되었습니다.
1925: 행렬 역학 - 베르너 하이젠베르크
하이젠베르크는 행렬 역학이라는 최초의 양자역학 공식을 제안하였습니다. 이는 양자역학의 기초를 마련한 매우 중요한 발견이었습니다.
1925년, 베르너 하이젠베르크는 양자 물리학에서 획기적인 돌파구를 마련하며 행렬 역학을 창안했습니다. 기존의 고전 물리학적 접근이 미시 세계의 특성을 설명하는 데 한계를 보이자, 하이젠베르크는 새로운 수학적 틀을 제안했습니다. 그는 원자의 전자가 궤도를 따라 움직인다는 고전적 개념을 버리고, 관측 가능한 물리량만을 기반으로 전자의 행동을 기술해야 한다고 주장했습니다. 이를 위해 물리량을 수학적으로 행렬로 표현했고, 관측 가능한 값들은 이 행렬의 고유값으로 나타내었습니다.
행렬 역학은 당시 이해하기 매우 어려운 수학적 구조였으나, 하이젠베르크는 이를 통해 양자 세계의 불연속성과 관측 가능성의 원리를 구체적으로 설명했습니다. 이후 막스 보른과 파스쿠알 요르단이 하이젠베르크의 이론을 수학적으로 완성하며, 행렬 역학은 양자 물리학의 첫 번째 완전한 이론으로 자리 잡았습니다. 이는 슈뢰딩거의 파동 역학과 함께 양자 역학의 두 기둥으로 작용하며, 현대 양자 물리학의 기초가 되었습니다.
1926: 슈뢰딩거 방정식 - 에르빈 슈뢰딩거
에르빈 슈뢰딩거는 파동 역학과 슈뢰딩거 방정식을 통해 입자의 파동적 행동을 수학적으로 설명하였습니다.
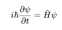
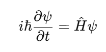
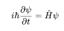
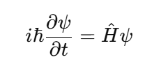
1926년, 에르빈 슈뢰딩거는 전자의 움직임을 기술하기 위해 파동 방정식을 제안했습니다. 슈뢰딩거 방정식은 전자를 입자가 아닌 파동으로 간주하며, 전자의 상태를 기술하는 확률파(파동 함수)의 시간적·공간적 변화를 설명합니다. 슈뢰딩거는 이 방정식을 통해 전자가 원자 내부에서 특정 에너지 상태를 가질 수 있음을 밝혔으며, 이는 기존의 보어 모형을 보다 정교하게 확장하는 역할을 했습니다.
슈뢰딩거 방정식은 다음과 같은 일반 형태로 표현됩니다:

여기서 ψ는 파동 함수, H는 해밀토니안 연산자, ℏ는 디랙 상수입니다. 이 방정식은 물리계의 상태를 확률적으로 예측할 수 있게 하였으며, 파동 함수의 절댓값 제곱은 전자가 특정 위치에서 발견될 확률을 나타냅니다.
슈뢰딩거 방정식은 양자 세계를 이해하는 데 필수적인 도구로 자리 잡았고, 고전 역학과 양자 역학을 연결하는 새로운 시각을 열었습니다. 슈뢰딩거는 이후 하이젠베르크의 행렬 역학과 자신의 파동 역학이 수학적으로 동일함을 입증하며, 양자 역학의 통합에 기여했습니다.
1927: 불확정성 원리 - 하이젠베르크
하이젠베르크는 불확정성 원리를 통해, 물리량(위치와 운동량 등)의 정확한 측정에는 한계가 있음을 보여주었습니다.
1927년, 하이젠베르크는 양자 세계의 근본적인 한계를 설명하는 불확정성 원리를 발표했습니다. 이 원리는 한 입자의 위치와 운동량을 동시에 정확히 측정할 수 없다는 것을 수학적으로 증명한 것입니다. 불확정성 원리는 다음과 같이 표현됩니다:

여기서 Δx는 위치의 불확정성, Δp는 운동량의 불확정성, ℏ는 디랙 상수입니다. 이 식은 위치를 정밀하게 알수록 운동량을 알 수 있는 정확도가 떨어지고, 반대로 운동량을 정확히 알수록 위치에 대한 정보는 더 불확실해진다는 것을 보여줍니다.
불확정성 원리는 고전 물리학에서의 확정적 세계관을 뒤엎고, 양자 세계에서의 관측 가능성에 대한 근본적인 제한을 제시했습니다. 이 발견은 양자 역학의 확률적 본질을 이해하는 데 필수적이며, 이후 양자 기술의 기초 이론으로 작용했습니다. 하이젠베르크의 불확정성 원리는 양자 측정 이론, 양자 컴퓨팅 등 다양한 분야에서 응용되고 있습니다.
1928: 디랙 방정식 - 폴 디랙
폴 디랙은 디랙 방정식을 제시하여 양자역학과 상대성이론을 통합하였습니다. 이를 통해 반물질의 존재를 예측했습니다.
1928년, 폴 디랙은 양자역학과 상대성 이론을 결합한 디랙 방정식을 발표하며 현대 물리학에 새로운 장을 열었습니다. 이 방정식은 전자와 같은 입자의 행동을 설명하며, 양자역학의 틀 안에서 상대론적 효과를 포함시킨 최초의 시도였습니다. 디랙 방정식은 다음과 같은 형태로 나타낼 수 있습니다:

여기서 γμ는 디랙 행렬, ψ는 스피너(입자의 상태를 나타내는 함수), m은 입자의 질량입니다. 이 방정식은 전자의 스핀과 자기 모멘트를 자연스럽게 설명했을 뿐 아니라, **반물질(양전자)**의 존재를 예측한 최초의 이론이었습니다. 이 예측은 1932년 칼 앤더슨에 의해 실험적으로 확인되며 디랙 방정식의 정확성이 입증되었습니다.
디랙 방정식은 양자장론(Quantum Field Theory)의 기초가 되었으며, 전자기 상호작용을 설명하는 양자전기역학(QED)과 표준 모형(Standard Model)으로 이어지는 물리학의 발전에 큰 기여를 했습니다. 또한, 디랙의 업적은 스핀트로닉스, 양자컴퓨팅 등 현대 기술의 이론적 기반이 되었습니다.
1935: EPR 역설 - 아인슈타인, 포돌스키, 로젠
아인슈타인과 그의 동료들은 양자역학이 완전하지 않다고 주장하며 EPR 역설을 발표하였습니다. 이는 양자 얽힘에 대한 논의를 불러일으켰습니다.
1935년, 알베르트 아인슈타인, 보리스 포돌스키, 그리고 나단 로젠은 양자역학의 완전성을 의심하며 EPR 역설을 발표했습니다. 그들은 "양자역학이 물리적 현실을 완벽히 기술하지 못하며, 더 근본적인 '숨은 변수 이론'이 필요하다"고 주장했습니다. EPR 역설은 다음과 같은 문제를 제기했습니다:
- 두 입자가 얽힘 상태에 있을 때, 한 입자의 물리적 상태를 측정하면 다른 입자의 상태가 즉각 결정됩니다. 이는 정보가 빛의 속도보다 빠르게 전달된다는 것을 암시하며, 상대성 이론에 위배됩니다.
EPR 논문은 양자역학의 비국소성(non-locality) 문제를 부각시켰으며, "양자역학은 완전하지 않다"는 주장을 펼쳤습니다. 하지만 1964년 존 벨의 정리와 1982년 알랭 아스펙트의 실험은 EPR 역설이 예측한 '숨은 변수 이론'이 현실적으로 존재하지 않음을 증명하며, 양자 얽힘과 비국소성을 확인했습니다.
EPR 역설은 양자정보학(Quantum Information)과 양자컴퓨팅의 연구에서 중요한 철학적, 실험적 기반이 되었으며, 양자암호화와 얽힘 기반 기술의 발전으로 이어졌습니다.
1947: 양자전기역학 (QED) - 파인만 외
리처드 파인만, 줄리안 슈윙거, 그리고 도모나가 신이치로는 독립적으로 양자전기역학의 기초를 개발했습니다. 이는 빛과 물질의 상호작용을 설명하는 이론입니다.
1947년, 리처드 파인만, 줄리안 슈윙거, 그리고 도모나가 신이치로는 각각 독립적으로 **양자전기역학(QED)**의 이론적 틀을 완성했습니다. QED는 전자와 광자 사이의 상호작용을 설명하는 이론으로, 전기와 자기 현상에 양자역학과 상대성 이론을 결합한 최초의 성공적인 양자장론이었습니다.
파인만은 파인만 다이어그램을 도입하여 입자 간 상호작용을 시각적으로 표현하는 혁신적인 방법을 제안했습니다. 이를 통해 복잡한 계산을 단순화하고, 양자 과정의 직관적인 이해를 가능하게 했습니다. 줄리안 슈윙거와 도모나가는 이론을 수학적으로 완성하며, 전자기 상호작용에서의 무한대 문제를 정규화 방법으로 해결했습니다.
QED는 실험적으로 매우 정밀한 예측을 가능하게 했으며, 특히 전자의 자기 모멘트(anomalous magnetic moment)를 정확히 계산하여 현대 물리학의 가장 성공적인 이론으로 평가받고 있습니다. 이들은 QED의 업적으로 1965년 노벨 물리학상을 공동 수상했습니다.
양자전기역학은 이후 표준 모형의 기초가 되었으며, 오늘날 양자광학, 양자컴퓨팅, 고에너지 물리학 등에서 널리 활용되는 이론적 토대를 제공합니다.
1954: 비가환 게이지 이론 - 양첸닝, 로버트 밀스
양첸닝과 로버트 밀스는 비가환 게이지 이론을 발전시켜, 양자 색역학(QCD)의 기초를 닦았습니다.
1954년, 양첸닝(Yang Chen-Ning)과 로버트 밀스(Robert Mills)는 **비가환 게이지 이론(Non-Abelian Gauge Theory)**을 제안하며 물리학에서 혁신적인 전환점을 마련했습니다. 이 이론은 기본 입자들이 상호작용하는 방식과 대칭성의 개념을 설명하는 새로운 수학적 틀을 제공했습니다. 기존의 가환 게이지 이론(Abelian Gauge Theory)이 전자기 상호작용을 설명했다면, 비가환 게이지 이론은 대칭군(Symmetry Group)이 보다 복잡한 경우를 다루며, 약한 상호작용과 강한 상호작용의 본질을 이해하는 데 핵심적인 역할을 했습니다.
양-밀스 이론은 특히 **양자 색역학(Quantum Chromodynamics, QCD)**과 표준 모형(Standard Model)의 기초를 형성했습니다. 이 이론의 가장 중요한 특징 중 하나는 힘을 매개하는 입자(예: 글루온)가 스스로 상호작용을 한다는 점입니다. 이는 전자기 이론에서 포톤이 상호작용하지 않는 것과는 큰 차이를 보이는 특성입니다.
양-밀스 이론은 고에너지 물리학에서 필수적인 역할을 하며, 오늘날 입자 가속기 실험에서 확인되는 강한 핵력과 약한 핵력의 성질을 설명하는 기초가 되었습니다. 또한, 이 이론은 현대 수학에서도 대칭성과 위상학을 연구하는 중요한 도구로 활용되고 있습니다.
1961: 전자기와 약한 상호작용의 통합 - 셸던 글래쇼
셸던 글래쇼는 전자기와 약한 상호작용을 통합하는 이론을 제안하며 표준 모형의 기초를 마련하였습니다.
1961년, 셸던 글래쇼(Sheldon Glashow)는 전자기와 약한 상호작용의 통합(Unification of Electromagnetic and Weak Interactions) 이론을 제안했습니다. 이는 물리학의 표준 모형을 구성하는 초기 단계로 평가받습니다. 글래쇼는 약한 상호작용을 설명하기 위해 게이지 대칭군 SU(2)×U(1)을 도입하여 전자기력과 약한 핵력이 동일한 틀 안에서 설명될 수 있음을 보여주었습니다.
이 이론에서 전자기력은 광자(포톤)에 의해 매개되며, 약한 상호작용은 W+, W−, Z 입자라는 세 가지 중간 매개 입자에 의해 이루어진다고 설명합니다. 글래쇼의 작업은 **전자기-약한 통합(Electroweak Unification)**의 핵심으로 이어졌으며, 이후 압두스 살람(Abdus Salam)과 스티븐 와인버그(Steven Weinberg)가 이 이론을 더욱 발전시켜 1970년대에 완성했습니다.
전자기-약한 이론은 입자 물리학 실험에서 확인되었으며, 특히 1983년 거대 전자 양성자 충돌기에서 W와 Z 입자가 발견되며 실험적 증거가 확보되었습니다. 글래쇼는 이 공로로 살람, 와인버그와 함께 1979년 노벨 물리학상을 수상했습니다. 이 통합 이론은 물리학에서 힘의 통합이라는 궁극적인 목표로 나아가는 초석을 놓았습니다.
1964: 벨의 정리와 쿼크 모델
- 존 벨은 벨의 정리를 통해 양자 얽힘이 국소적 숨은 변수로는 설명될 수 없음을 증명하였습니다.
- 머리 겔만과 조지 츠바이크는 독립적으로 쿼크 모델을 제안하며 강한 상호작용을 설명하는 양자 색역학(QCD)을 발전시켰습니다.
1964년은 양자물리학과 입자물리학에서 두 가지 중요한 돌파구가 이루어진 해였습니다.
벨의 정리 - 존 벨
존 벨(John Bell)은 **벨의 정리(Bell's Theorem)**를 통해 양자 얽힘과 국소성(locality)의 관계를 수학적으로 명확히 설명했습니다. 벨의 정리는 "양자역학의 예측은 국소적 숨은 변수 이론으로 설명될 수 없다"는 결론을 도출했습니다. 이는 양자역학이 비국소적(non-local) 특성을 가짐을 의미하며, 얽힘 상태에 있는 두 입자가 서로 공간적으로 멀리 떨어져 있어도 상호작용할 수 있음을 보여줍니다.
벨의 정리는 실험 물리학에서 중요한 계기가 되었으며, 이후 알랭 아스펙트(Alain Aspect)의 1982년 실험에서 벨의 부등식이 위배됨이 확인되었습니다. 이 연구는 양자 정보과학(Quantum Information Science)과 양자 컴퓨팅 등 현대 기술 발전의 기초를 제공했습니다.
쿼크 모델 - 머리 겔만과 조지 츠바이크
같은 해, 머리 겔만(Murray Gell-Mann)과 조지 츠바이크(George Zweig)는 독립적으로 **쿼크 모델(Quark Model)**을 제안했습니다. 이 모델은 양성자와 중성자와 같은 하드론(hadron)이 더 작은 기본 입자인 쿼크로 구성되어 있음을 설명했습니다. 겔만은 쿼크가 uu (업), dd (다운), ss (스트레인지)라는 세 가지 맛(flavor)을 가질 수 있다고 제안했습니다.
쿼크 모델은 입자물리학에서 강한 상호작용을 설명하는 **양자 색역학(QCD)**의 기초를 마련했으며, 오늘날 표준 모형의 필수 구성 요소로 자리 잡았습니다. 이 발견은 하드론의 구조를 이해하는 데 큰 전환점이 되었으며, 고에너지 물리학 실험에서 지속적으로 검증되었습니다.
1973: 점근 자유성 발견 - 그로스, 윌첵, 폴리처
그로스, 윌첵, 폴리처는 QCD에서 점근 자유성을 발견하여 강한 핵력의 본질을 설명하였습니다.
1973년, 데이비드 그로스(David Gross), 프랭크 윌첵(Frank Wilczek), 그리고 휴 폴리처(Hugh David Politzer)는 **점근 자유성(Asymptotic Freedom)**을 발견하며 양자 색역학(Quantum Chromodynamics, QCD)을 입자물리학의 핵심 이론으로 확립했습니다. 이들은 강한 상호작용이 거리와 에너지에 따라 달라진다는 새로운 물리적 성질을 밝혔습니다.
점근 자유성이란 쿼크들이 서로 극도로 가까운 거리(또는 매우 높은 에너지)에서는 약한 상호작용을 하며, 멀리 떨어질수록 상호작용이 강해진다는 성질을 의미합니다. 이 발견은 쿼크들이 왜 개별적으로 관찰되지 않고 항상 하드론(양성자나 중성자와 같은 복합 입자) 내부에 갇혀 있는지(쿼크 속박, Quark Confinement) 설명해주었습니다. 이 개념은 QCD의 가장 중요한 특징 중 하나로, 강한 핵력의 근본 원리를 이해하는 데 핵심적인 역할을 했습니다.
그로스와 윌첵, 폴리처의 연구는 표준 모형의 강한 상호작용 부분을 완성했으며, 이는 입자 가속기 실험에서 확인된 강한 상호작용의 예측을 수학적으로 뒷받침했습니다. 이 공로로 세 사람은 2004년 노벨 물리학상을 수상했습니다. 점근 자유성은 고에너지 물리학에서 하드론 충돌 실험과 우주 초기의 쿼크-글루온 플라즈마 상태를 연구하는 데 중요한 이론적 기반이 되고 있습니다.
1982: 양자 얽힘 실험 - 알랭 아스펙트
알랭 아스펙트의 실험은 양자 얽힘을 실험적으로 증명하며, 벨의 정리를 강력히 지지했습니다.
1982년, 프랑스의 물리학자 알랭 아스펙트(Alain Aspect)는 양자 얽힘(Quantum Entanglement)의 본질을 실험적으로 확인하며 양자역학의 핵심 원리를 입증했습니다. 그의 실험은 양자 얽힘 상태에서 얽힌 입자들이 공간적으로 멀리 떨어져 있어도 서로 즉각적으로 영향을 미칠 수 있다는 **비국소성(non-locality)**을 실증적으로 증명한 것입니다.
아스펙트의 실험은 벨의 부등식(Bell's Inequality)을 테스트하는 방식으로 설계되었습니다. 벨의 부등식은 국소적 숨은 변수 이론(Local Hidden Variable Theory)을 기반으로 한 고전적 상호작용의 한계를 정의합니다. 아스펙트는 편광을 측정하는 얽힌 광자 쌍을 사용해 벨의 부등식이 위배됨을 확인했으며, 이는 양자역학의 예측이 정확하다는 것을 보여주었습니다.
이 실험은 다음과 같은 중요한 의미를 가집니다:
- 양자 얽힘의 실재성: 얽힘 상태에 있는 두 입자가 서로 공간적으로 멀리 떨어져 있어도 상호작용을 공유한다는 것을 확인했습니다.
- 국소적 숨은 변수 이론 배제: 고전 물리학적 설명으로 양자현상을 이해하는 시도가 실패했음을 입증했습니다.
- 양자 정보과학의 기초 확립: 아스펙트의 연구는 양자 컴퓨팅, 양자 암호화, 양자 텔레포테이션과 같은 양자 기술의 이론적 기반을 마련했습니다.
아스펙트의 실험은 양자물리학에서의 철학적 논쟁을 종결짓고, 양자역학의 비국소적 특성을 실험적으로 확증한 역사적인 순간으로 평가받습니다. 그의 연구는 이후 양자정보학과 첨단 기술 개발로 이어졌으며, 이는 21세기 과학과 기술의 새로운 시대를 열었습니다.
결론: 양자 물리학의 여정과 미래의 가능성
양자 물리학은 20세기와 21세기를 연결하는 과학의 기둥으로 자리 잡았으며, 현대 기술(예: 반도체, 레이저, 양자 컴퓨터)의 발전에 지대한 영향을 미쳤습니다. 이 역사적 여정을 통해 인류는 자연의 깊은 본질에 한 걸음 더 다가갈 수 있었습니다.
양자 물리학의 발전은 인류가 자연의 근본적인 원리를 이해하고 활용하려는 끊임없는 열망에서 비롯된 여정입니다. 점근 자유성의 발견은 강한 상호작용의 미시적 성질을 밝혀내며 쿼크와 글루온의 세계를 이해할 수 있게 했고, 이는 현대 입자물리학과 우주론 연구에 필수적인 기반이 되었습니다. 한편, 알랭 아스펙트의 양자 얽힘 실험은 비국소성의 실재를 확인하며 양자정보과학의 문을 열었습니다. 이는 양자 컴퓨팅, 양자 암호화, 양자 통신 등 현대 기술의 새로운 시대를 가능하게 했습니다.
양자 물리학의 이러한 성과들은 단지 과거의 발견에 머물지 않습니다. 오늘날 우리는 양자역학의 원리를 활용하여 이전에는 상상할 수 없었던 혁신적인 기술을 개발하고 있습니다. 양자컴퓨터는 데이터 처리의 패러다임을 바꾸고 있으며, 양자암호화는 정보 보안의 새로운 표준을 제시하고 있습니다. 또한 양자 센서 기술은 우주 탐사, 의료 진단, 환경 감시에 이르기까지 다양한 분야에서 응용되고 있습니다.
양자 물리학의 여정은 끝나지 않았습니다. 아직 밝혀지지 않은 수많은 미스터리와 도전 과제가 우리를 기다리고 있습니다. 양자 중력, 암흑 물질과 에너지, 그리고 우주의 기원에 대한 질문들이 여전히 남아 있습니다. 하지만 지금까지의 발전은 우리가 이 새로운 도전에 맞설 수 있는 강력한 도구를 제공했습니다.
현대 물리학의 성과는 단지 과학적 호기심의 산물이 아니라, 인류가 자연의 본질을 이해하고 이를 통해 세상을 더 나은 방향으로 변화시키려는 노력의 결실임을 보여줍니다. 앞으로의 양자 물리학 연구는 과학과 기술, 철학과 인간의 이해를 더욱 깊이 연결하는 길을 열어갈 것입니다.
'배움: MBA, English, 운동' 카테고리의 다른 글
| 가자 지구에서의 협상 진전: 인질 석방과 휴전 가능성 (9) | 2024.12.13 | 
|---|---|
| 인텔 CEO 교체가 TSMC와 삼성에 미치는 영향 (8) | 2024.12.12 | 
| 월배당 ETF, 분산 투자로 안정적인 수익 창출하기: NVDY, JEPI, JEPQ, QYLD, TLTW 사례 분석 (12) | 2024.12.12 | 
| 2026년 아시아 경제, 트럼프 정책의 실질적 영향 받을 전망 (20) | 2024.12.11 | 
| 인도네시아 스마트폰 산업: 성장 잠재력과 현지화의 도전 (6) | 2024.12.11 | 
 
                    
                   
                    
                   
                    
                  